Skip to content

25 Cannon Rd, Wilton, CT – Send ALL Mail to: PO Box 23, Wilton, CT 06897 – Query@cannongrange.org

cannongrange.org
  • Home
  • About Us
    • Our History
    • Leadership
    • News
    • Photo Gallery
  • Events
    • Earth Day
    • Annual Potluck
    • Wilton Sidewalk Fair
    • 93rd Agricultural Fair
    • Pancake Breakfast with Santa Bill
    • Holiday Market
  • Calendar
  • Rental Info
    • How to Rent the Grange
    • Hall Design Ideas
    • Rental Information Handbook
    • Sample Cert of Insurance
    • Rental Request and Agreement
    • Rental Deposit
    • Rental Payment
    • Walk thru videos
    • Calendar
  • Membership
    • Join us
  • Agricultural Fair
    • 2024 Fair Vendor
    • 2024 Fair Food Vendor
    • 2024 Fair Advertiser
    • 2024 Fair Sponsorship
    • The 2024 Cannon Grange Agricultural Fair Book
    • 2024 Fair and Show Requirements for the State of Connecticut
    • 2024 State Baking Contest
    • How to Submit your Entry(s) to the Fair
    • Helpful Hints to Prepare your Entries
    • Artisan Registration
    • Non – Profit Organizations Registration
    • Participating Farms
    • Cannon Grange wishes to thank our 2024 Fair Book Advertisers
  • Donate

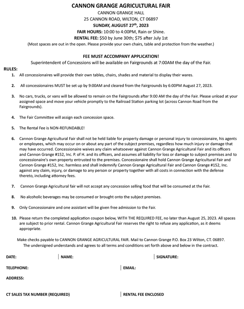
Interested in being a Vendor at the Cannon Grange Fair?

Registration is now OPEN for the 2024 Agricultural Fair.  Email Secretary@cannongrange.org to register. Space is limited.

Download Vendor/ Artisan Letter
Vendor Letter
Download Vendor/ Artisan Rental Agreement
CANNON GRANGE AGRICULTURAL FAIR vendor agreement
2023 Advertiser Letter
© 2026 Cannon Grange | 25 Cannon Rd, Wilton, CT | Send ALL Mail to: PO Box 23, Wilton, CT 06897